半導體測試機臺投資大,折舊快,一套J750的測試機及上料機價格超過100萬美金,設備利用率是公司制造管理部門的核心指標。
F公司的IE部門負責公司標準工時,設備投資的核算。設立這個部門的背景是04年初,一名香港的總監被公司調到天津工廠當總經理,各部門經理不停的說自己部門缺設備,缺人,但總經理自己到現場卻發現很多設備和人的利用率不高,于是要求設立一個IE部門負責設備產能和人力測算,并將這個部門放在計劃部門下面。博革咨詢實際上是F公司天津工廠的第一個IE。
給博革咨詢的第一個工作就是測算測試部門的人機比和設備利用率。F公司是從M跨國公司在04年剝離的,管理體系沿襲自M公司;最初時公司對設備的考核指標是UOEE即(好品+次品)*標準工時/投入總工時。博革咨詢對這個公式提出疑義,認為標準的OEE公式應該為好品*標準工時/投入總工時。當時管生產的經理一本正經的說:產品的良率是由PE負責的,有單獨的良率指標考核他們,UOEE顯示出來工廠的生產效率。后來隨著對公司了解的深入,發現這個UOEE存在巨大的操作空間,半導體測試工序并不改變產品的形態和功能,所以一顆料可以反復測試,當設備缺少物料時,工人為了避免設備停機損失UOEE指標,會將測好的物料再次投入設備以提升UOEE。
博革咨詢開發了一個模型用于計算UOEE和人機比
設備利用率模型。
這里假定設備利用率損失包括2部分,與批次相關的部分和與批次無關的部分,利用寬放抽樣,秒表計時和Wright公式3個方法來計算各種損失。在表格中,A代表每周總時間,B代表與批次無關的損失時間,X代表做一批的標準時間,Y代表每做一批的時間損失,(A-B)/(X+Y)則計算出了每周所做產品的批次,批次*X/A就得到了設備利用率。
通過這種方式,可以分析當改變lotsize,人機比和MUBA等參數時對設備利用率的影響。
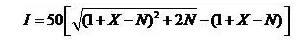
人機比模型的Wright公式介紹:Wright公式是一個用來計算一名工人看管多臺機器時機器排隊時間的經驗公式,確定了機器排隊時間,然后再根據機器運行時間和控制外工作(機器必須停下來工人才能做的工作)確定合理的人機比例。“隨著一名工人看管的機器數量的增加,工人和機器之間的協關系也就越來越復雜,機器干涉時間和隨之發生的延遲時間也就越來越大。”因而確定合理的人機比例時非常必要的。
一般在實際生產中,機器干涉時間(排隊時間)一般占總工作時間的2%到30%,最多甚至達到50%,但是不通過科學的方法計算衡量,就無法確切的知道在現有的人機比例下機器干涉時間是多少,進而對機器利用率的影響又是多少。而Wright公式就是解決這一問題的經驗總結。
當一名工人看管的機器數量小于或者等于6時,我們可以用下圖來衡量。首先計算出機器運行時間和控制外時間(servicingtime)的比值,根據人機比例查出機器干涉時間百分比,從而計算機器利用率是否達到要求。
如果一名工人看管的機器臺數超過了6臺,則可以用以下公式計算:
其中,I為機器干涉時間百分比
X為平均機器運行時間與平均控制外工作時間的比值
N為一名工人看管的機器臺數
用這種邏輯,車間1個人可以看管4臺設備,而實際上車間是安排1個人負責3臺設備。車間對這個模型的數據和計算邏輯未提出疑義,但堅持說由于離職率高,車間很多都是新工人,按照純理論確實可以1人4機,但實際上無法做到1人4機。
還未等到正式調整人機比??偛總鱽硐?,A咨詢公司公司在給公司做完戰略規劃后,剩余了100萬美金的咨詢費相應的人天未使用完,他們提出給F公司進行精益咨詢,提升設備效率。總部那些美國人剛好苦于各基地不斷提出加人,加設備的需求,因此將這些顧問派到了天津工廠。
博革咨詢在F公司經歷過2次咨詢公司的精益咨詢,第一次是A咨詢公司,第二次是B咨詢公司,這兩家公司風格迥異。A咨詢公司公司一下子來了7-8個顧問加助理,這些顧問團團坐在辦公室里面,到現場基本就是蜻蜓點水,然后會要求工廠提供各種各樣的數據,對數據進行分析。這些顧問的一大特點就是都沒干過制造,基本都是名校MBA畢業,還有劍橋的物理學博士。B咨詢公司那些顧問喜歡待在現場,數據也是以自己收集為主,做事更多的是靠經驗和直覺,缺少數據支撐。
很快,A咨詢公司的顧問提出:F公司的UOEE公式是不合理的,應該考核OEE;然后根據他們計算,F公司的OEE指標只有45%,世界一流的半導體公司的測試OEE指標應該達成60%,存在巨大的改善空間。設備停機時和產品良率是提升效率的重點。
F公司習慣將12臺測試機臺組成1個CELL,每個工人操作3個機臺,1個CELL里面就是4個作業員。A咨詢公司的顧問提出,1個作業員負責4個機臺。這樣12個機臺就是3個人,然后讓多出的1個人作為游擊手,專門負責設備切換,開接批時輔助支持,這樣機臺的效率就可以提升8-10%。他們計算人機比的方式和博革咨詢用的方法類似,都是用寬放抽樣的方法得到人的利用率。然后計算設備切換時間的損失。對作業員切換時間進行了錄像,然后用多人聯合作業圖進行分析,得到結論如果雙人并行作業,可以壓縮每批物料的作業時間。
產品良率的改善主要是技術方面提升良率的改善,A咨詢公司顧問不是技術專家,建議由公司自己推進。
F公司采納了A咨詢公司顧問的意見,將考核指標修改為OEE,然后要求各分廠導入工業工程的各項工具進行效率分析及改善。
F公司的IE部門負責公司標準工時,設備投資的核算。設立這個部門的背景是04年初,一名香港的總監被公司調到天津工廠當總經理,各部門經理不停的說自己部門缺設備,缺人,但總經理自己到現場卻發現很多設備和人的利用率不高,于是要求設立一個IE部門負責設備產能和人力測算,并將這個部門放在計劃部門下面。博革咨詢實際上是F公司天津工廠的第一個IE。
給博革咨詢的第一個工作就是測算測試部門的人機比和設備利用率。F公司是從M跨國公司在04年剝離的,管理體系沿襲自M公司;最初時公司對設備的考核指標是UOEE即(好品+次品)*標準工時/投入總工時。博革咨詢對這個公式提出疑義,認為標準的OEE公式應該為好品*標準工時/投入總工時。當時管生產的經理一本正經的說:產品的良率是由PE負責的,有單獨的良率指標考核他們,UOEE顯示出來工廠的生產效率。后來隨著對公司了解的深入,發現這個UOEE存在巨大的操作空間,半導體測試工序并不改變產品的形態和功能,所以一顆料可以反復測試,當設備缺少物料時,工人為了避免設備停機損失UOEE指標,會將測好的物料再次投入設備以提升UOEE。
博革咨詢開發了一個模型用于計算UOEE和人機比

這里假定設備利用率損失包括2部分,與批次相關的部分和與批次無關的部分,利用寬放抽樣,秒表計時和Wright公式3個方法來計算各種損失。在表格中,A代表每周總時間,B代表與批次無關的損失時間,X代表做一批的標準時間,Y代表每做一批的時間損失,(A-B)/(X+Y)則計算出了每周所做產品的批次,批次*X/A就得到了設備利用率。
通過這種方式,可以分析當改變lotsize,人機比和MUBA等參數時對設備利用率的影響。
人機比模型的Wright公式介紹:Wright公式是一個用來計算一名工人看管多臺機器時機器排隊時間的經驗公式,確定了機器排隊時間,然后再根據機器運行時間和控制外工作(機器必須停下來工人才能做的工作)確定合理的人機比例。“隨著一名工人看管的機器數量的增加,工人和機器之間的協關系也就越來越復雜,機器干涉時間和隨之發生的延遲時間也就越來越大。”因而確定合理的人機比例時非常必要的。
一般在實際生產中,機器干涉時間(排隊時間)一般占總工作時間的2%到30%,最多甚至達到50%,但是不通過科學的方法計算衡量,就無法確切的知道在現有的人機比例下機器干涉時間是多少,進而對機器利用率的影響又是多少。而Wright公式就是解決這一問題的經驗總結。
當一名工人看管的機器數量小于或者等于6時,我們可以用下圖來衡量。首先計算出機器運行時間和控制外時間(servicingtime)的比值,根據人機比例查出機器干涉時間百分比,從而計算機器利用率是否達到要求。
如果一名工人看管的機器臺數超過了6臺,則可以用以下公式計算:

其中,I為機器干涉時間百分比
X為平均機器運行時間與平均控制外工作時間的比值
N為一名工人看管的機器臺數
用這種邏輯,車間1個人可以看管4臺設備,而實際上車間是安排1個人負責3臺設備。車間對這個模型的數據和計算邏輯未提出疑義,但堅持說由于離職率高,車間很多都是新工人,按照純理論確實可以1人4機,但實際上無法做到1人4機。
還未等到正式調整人機比??偛總鱽硐?,A咨詢公司公司在給公司做完戰略規劃后,剩余了100萬美金的咨詢費相應的人天未使用完,他們提出給F公司進行精益咨詢,提升設備效率。總部那些美國人剛好苦于各基地不斷提出加人,加設備的需求,因此將這些顧問派到了天津工廠。
博革咨詢在F公司經歷過2次咨詢公司的精益咨詢,第一次是A咨詢公司,第二次是B咨詢公司,這兩家公司風格迥異。A咨詢公司公司一下子來了7-8個顧問加助理,這些顧問團團坐在辦公室里面,到現場基本就是蜻蜓點水,然后會要求工廠提供各種各樣的數據,對數據進行分析。這些顧問的一大特點就是都沒干過制造,基本都是名校MBA畢業,還有劍橋的物理學博士。B咨詢公司那些顧問喜歡待在現場,數據也是以自己收集為主,做事更多的是靠經驗和直覺,缺少數據支撐。
很快,A咨詢公司的顧問提出:F公司的UOEE公式是不合理的,應該考核OEE;然后根據他們計算,F公司的OEE指標只有45%,世界一流的半導體公司的測試OEE指標應該達成60%,存在巨大的改善空間。設備停機時和產品良率是提升效率的重點。
F公司習慣將12臺測試機臺組成1個CELL,每個工人操作3個機臺,1個CELL里面就是4個作業員。A咨詢公司的顧問提出,1個作業員負責4個機臺。這樣12個機臺就是3個人,然后讓多出的1個人作為游擊手,專門負責設備切換,開接批時輔助支持,這樣機臺的效率就可以提升8-10%。他們計算人機比的方式和博革咨詢用的方法類似,都是用寬放抽樣的方法得到人的利用率。然后計算設備切換時間的損失。對作業員切換時間進行了錄像,然后用多人聯合作業圖進行分析,得到結論如果雙人并行作業,可以壓縮每批物料的作業時間。
產品良率的改善主要是技術方面提升良率的改善,A咨詢公司顧問不是技術專家,建議由公司自己推進。
F公司采納了A咨詢公司顧問的意見,將考核指標修改為OEE,然后要求各分廠導入工業工程的各項工具進行效率分析及改善。
作者:老麥
推薦新聞
【精美PPT】MSA測量分析系統培訓課件完整版170頁 【簡介】 本PPT 為博革咨詢精選課件-MSA測量系統實戰培訓教材,主要講述 測量系統的基本概念,測量系統分析計劃,連續和離散數據測量系統分析以及參考數據和Minitab操作案例...... 注 /about/news/down/1943.html
【精美PPT】MSA測量系統分析實戰培訓教材PPT-99頁 【簡介】 本PPT 為博革咨詢精選課件-MSA測量系統實戰培訓教材,主要講述 測量系統的基本概念,測量系統分析計劃,連續和離散數據測量系統分析以及參考數據和Minitab操作案例...... 注 /about/news/down/1942.html
【精美PPT】QFD質量功能展開培訓精編課件PPT-48頁 【簡介】 本PPT 為博革咨詢精選課件,主要講述QFD質量功能展開的概述、起源和用處,QFD展開假設的條件、QFD展開流程 、以及QFD展開的具體步驟...... 注意: 完整PPT共 48 頁,附件下載內 /about/news/down/1924.html

.png)
.png)
.png)